अमारा whatsapp गृपमा जोड़ावा अही क्लिक करो
 फालतू मेसेज करवानी मनाई छे तमारा मित्रो ने पण अमारा गृपमा जोड़ो ... आभार
तमारा whatsapp & Hike  गृप मा अमारो नंबर
982 57 57 943 ऐड करो
Join Our FaceBook Groups To Get More Update ... click here
Join our Facebook page To get our website update... click here 

Search This Blog

RECENT POST

Recent Posts Widget

Jun 17, 2016

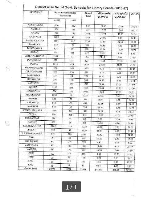
VARSH 2016/'17 MATE SHALA PUSHTAKALAY NI GRANT ANGE BABAT PARIPATRA

No comments:

Post a Comment